JAMB: BIOLOGY
-
Free Practice
Free Practice1 Topic|1 Quiz -
Syllabus PracticePart A β Variety of Organisms2 Topics
-
Part B β Form & Functions2 Topics
-
Part C β Ecology2 Topics
-
Part D β Heredity & Variation2 Topics
-
Part E β Evolution2 Topics
-
Practice by Topic1 Topic
-
Mock TestFull Mock Test1 Topic
-
Past Questions (Year-Based)Past Questions18 Quizzes
-
2025 JAMB Biology Past Questions
-
2024 JAMB Biology Past Questions
-
2023 JAMB Biology Past Questions
-
2022 JAMB Biology Past Questions
-
2021 JAMB Biology Past Questions
-
2020 JAMB Biology Past Questions
-
2019 JAMB Biology Past Questions
-
2018 JAMB Biology Past Questions
-
2017 JAMB Biology Past Questions
-
2016 JAMB Biology Past Questions
-
2015 JAMB Biology Past Questions
-
2014 JAMB Biology Past Questions
-
2013 JAMB Biology Past Questions
-
2012 JAMB Biology Past Questions
-
2011 JAMB Biology Past Questions
-
2010 JAMB Biology Past Questions
-
2009 JAMB Biology Past Questions
-
Ten Questions A Day - JAMB Biology
-
2025 JAMB Biology Past Questions
Part D Mock Test β Heredity and Variation
Mock Guide:
This timed mock test covers JAMB Biology Part D β Heredity and Variation, including inheritance of traits, genetic variation, and sources of biological diversity among organisms. It is designed to simulate real exam pressure: 40 questions, timed, with instant scoring and explanations after submission.
For best results, attempt this mock test like a real JAMB CBT: avoid checking answers until the end, submit before time runs out, then review your wrong questions using the βReview wrongβ button.
Prefer learning by topic first? Use the Part D Practice Questions page for unlimited practice questions and explanations.
| # | User | Best | Time | Attempts |
|---|---|---|---|---|
| 1 | 40 | 10:57 | 1 |
Subscribe for Access
This Content is protected.
Click on the "Subscribe Button" below to unlock.
Subscribe Now
Note: If you have Already Subscribed and you are seeing this message, it means you are logged out. Please Log In using the Login form Below to Carry on Studying!
A phenotypic character with intermediate forms that can be graded from one extreme to the other is referred to as
Answer: C
(No explanation provided)

Use the diagram above to answer this question.
The largest number of cassava plants has an approximate height of
Answer: C
Explanation
The graph shows a bell-shaped (normal) distribution of cassava plant heights.
The highest point (apex) of the graph represents the height with the greatest frequency.
The peak occurs at approximately 1.6 metres, meaning most of the cassava plants have this height.
Β

Use the diagram above to answer this question.
The graph illustrates
Answer: C
Explanation
Continuous variations are variations within a population in which phenotypes may have any value between the extremes. Traits in the population tend to be quantitative. It is usually controlled by a lot of genes and strongly influenced by the environment. Examples of such phenotypic traits are height, weight, intelligence.
Accurate identification of a suspect in a crime can be carried out by conducting
Answer: C
Explanation:
DNA profiling compares genetic material from the scene with that of a suspect to determine a match.
The uniqueness of an individual organism in a population is accounted for by
Answer: D
(No explanation provided)
Both recessive and dominant characters are found
Answer: D
Explanation: Each type of a gene for a character is inherited from the mother and from the father and are on the same locus of the homologous chromosomes bearing them. The gene that expresses the character in the presence of the other is the dominant gene while the gene that is not expressed is the recessive gene.

How many nucleotides make up a codon?
Answer: A
Explanation:
A codon is a sequence of three DNA or RNA nucleotides that corresponds with a specific amino acid or stop signal during protein synthesis
Which of the following is not an inheritable disease?
Answer: B
Explanation: Poliomyelitis is caused by a pathogen (virus) and is transmitted by drinking or eating infected food.
A dilute solution of phenylthiocarbamide tastes bitter to some people and is tasteless to others. This is an example of
Answer: D
(No explanation provided)
A woman with the ability to roll her tongue (Tt) marries a man who cannot roll his tongue (tt).
What is the probability of each of their children being a tongue roller?
Answer: D
(No explanation provided)
The correct base pairing for DNA is
Answer: D
Explanation: A DNA sequence is the precise order of nucleotides within a DNA molecule. DNA (Deoxyribonucleic acid) carries the genetic instructions for growth and development. DNA is composed of four nucleotide bases: Adenine, Thymine, Cytosine, and Guanine. These bases pair in a complementary fashion: Adenine pairs with Thymine, while Guanine pairs with Cytosine.
In DNA, base pairing follows Chargaffβs rules:
- Adenine (A) always pairs with Thymine (T) via two hydrogen bonds
- Guanine (G) always pairs with Cytosine (C) via three hydrogen bonds
Other combinations do not occur in standard DNA.
The inheritable characters that are determined by a gene located only on the X-chromosome are
Answer: A
Explanation
Sex-linked genes are located on the X chromosome and result in X-linkage. Similarly, Y-linkage refers to the gene which is present on the Y chromosome. Since females are homogametic with XX chromosome and males have XY chromosome, the Y-linked traits are transmitted via males only.
In an organism where the 2n number of chromosomes is 16, the number of chromosomes in each gamete will be
Answer: A
Explanation: Diploid cells are those that contain a complete set or (2n number) of chromosomes, whereas haploid cells are those that contain half the number or (n-number) of chromosomes. The gametes have a haploid number of chromosomes; therefore, if the diploid number of chromosomes of an organism is 16, each gamete would be 8.
Haemophilia results from the mutation of the genes
Answer: D
Explanation: Hemophilia is a bleeding disorder that slows the blood clotting process. People with this disorder experience prolonged bleeding or oozing following injury, surgery, etc. It's an inherited condition that affects the body's ability to produce clotting factors.
In a population of living things, the parameters of size, height, weight and colour are examples of
Answer: C
Explanation: A continuous variation is a characteristic of any species that shows changes gradually over a range of values. Size, weight, height and colour are characteristics that change gradually over a range of values and thus have numerous possible values within a range.
The crossing of individuals of the same species with different genetic characters is
Answer: D
Explanation
Since they are of the same specie it is 'inbreeding'. Crossbreeding involves diverse species.
If the cross of a red-flowered plant with a white-flowered plant produces a pink-flowered plant, it is an example of
Answer: C
Explanation
According to the principles of Mendel, this is the ability of two contrasting alleles to interact and produce a heterozygous phenotype that is different from the two homozygous phenotypes
Physiological variation in human population is evidenced in the
Answer: D
Explanation: The ability to roll the tongue is a physiological variation in which there are two extreme values for which the individual can fall into either a tongue roller or not. It is therefore a discontinuous variation.
Whorls, arches, loops and compounds are types of variation in
Answer: A
Explanation: The types of variations found in fingerprints are arches, (which occur in about 5% of the encountered fingerprints), Loops, Whorls, Plain arch, Tented arch, Radial loops, Ulnar loops, Double loop and Compounds.
Paternity disputes can most accurately be resolved through the use of
Answer: D
Explanation: The DNA is the fastest and most accurate method for determining paternity. Through replicating the DNA or sequencing (PCR), the closeness between two individuals can be determined by looking at the genetic matches (similar banding patterns on the DNA) between the potential father and child.
The sum total of all observable features of an organism is
Answer: A
Explanation
Phenotype is the sum total of all observable features of an organism i.e. the physical, physiological and behavioural traits e.g. height, weight, skin colour.
Genotype: This term is used to describe those traits or sum total of genes inherited from both parents.
A farmerβs assumption that the seed from a good harvest will produce a good yield is explained by the theory of
Answer: A
Your answer is correct.
A man who is affected by haemophilia marries a woman who is double recessive for haemophilia. What percentage of their offspring would have the disease?
Answer: B
Explanation:
Haemophilia is an X-linked recessive disorder.
- The man is affected: XΚ°Y
- The woman is affected (double recessive): XΚ°XΚ°
Punnett cross:
| Β | XΚ° | XΚ° |
| Y | XΚ°Y | XΚ°Y |
| XΚ° | XΚ°XΚ° | XΚ°XΚ° |
All daughters (XΚ°XΚ°) are affected, and all sons (XΚ°Y) are affected.
Therefore, 100% of the offspring would have haemophilia.
A yellow maize is planted and all the fruits obtained are of yellow seeds. When they are cross-bred, yellow seeds and white seeds are obtained in a ratio 3:1. The yellow seed is said to be
Answer: A
(No explanation provided)
The number of alleles controlling blood groups in humans is
Answer: B
Explanation
ABOΒ blood groups in humans areΒ controlled by the gene l. It has threeΒ alleles, IA, IB and I
Variation can occur among the offspring of living organisms because
Answer: C
Explanation: This is because cross-fertilization in sexual reproduction leads to a new combination of genes from the male and female gametes. More so the male and female gametes were products of crossing over or exchange of genes at the chiasmata during their formation.
Use the diagram below to answer the question

Which of the following will be true of dog II which lost its tail in an accident if it mates with dog III?
Answer: B
Explanation:
Dog II acquired the short tail trait by accident and therefore will not be inherited because the phenotype is caused by environmental factors, not genetic factors.
A pair of genes that control a trait is referred to as
Answer: D
(No explanation provided)
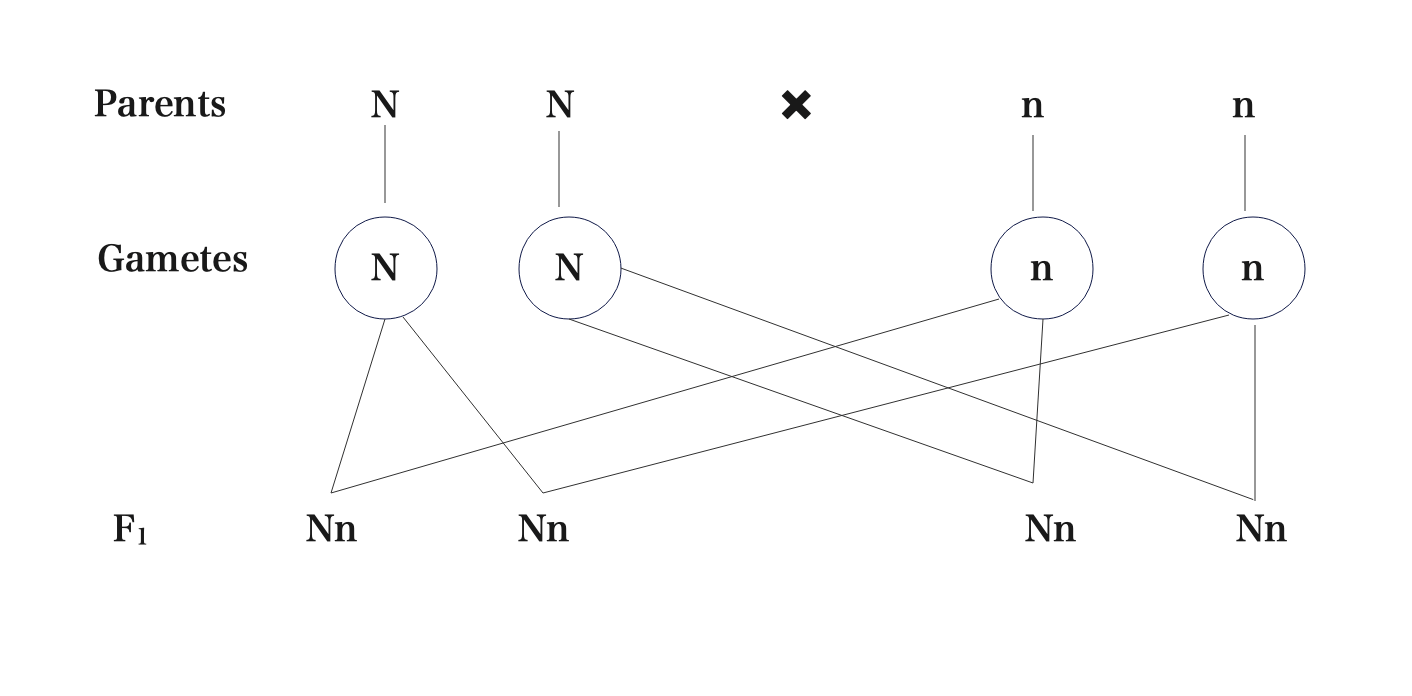
What would be the result of the first filial generation (F1) and the second filial generation (F2) of a monohybrid cross between pure line normal-winged Drosophila flies and pure line short-winged flies if the gene for the normal wing is dominant?
Answer: C
Explanation:
The result of the cross can best be illustrated using genetic diagrams.
- Normal Winged β NN
- Short winged β nn

Phenotype:
- All the flies are normal-winged (i.e. 4 normal winged)

Phenotype:
- 3 normal winged
- 1 short winged
β \(\Large \frac{3}{4} \normalsize \: are\: normal \: winged\)
Morphological variations in humans include
Answer: C
Explanation: Weight, fingerprint and body shape have wide ranges in which an individual can fit into and are morphological or continuous variations.
Morphological variations in humans encompass a wide range of physical traits, including height, weight, eye and hair color, facial features, fingerprints, and even subtle variations in bone shapes and internal structures
Use the diagram below to answer the question

If the dogs are offspring of a monohybrid cross and the gene G for grey head is dominant over its allele g, the individual whose genotype is likely to be gg is
Answer: C
Explanation
To properly identify the genes, we need to understand that G stands for the dominant trait for greyness, and g - the recessive trait for greyness. Hence:
I = GG
II = Gg
III = Gg
IV = gg
The genetic make-up of an organism is described as
Answer: B
Explanation:
The genotype is the part of the genetic makeup of a cell, and therefore of any individual, which determines one of its characteristics.
An allele is a variant form of a given gene. It is one of two or more versions of a known mutation at the same place on a chromosome.
A chromosome is a threadlike structure of nucleic acids and proteins found in the nucleus of most living cells, carrying genetic information in the form of genes.
The term phenotype refers to the observable physical properties of an organism; these include the organism's appearance, development, and behaviour.
The development of big muscles by a wrestler is an example of
Answer: C
Explanation
Acquired characteristics (or characters) are those changes in the structure or function of an organism that are the result of use, disuse, environmental influences, disease, mutilation, and so forth, such as a muscle that is enlarged through use or mice that have their tails cut off.
An example of a sex-linked trait is the
Answer: B
Explanation:Β
The βpossession of facial hair in adult humansβ is best described as a sex-influenced (sex-limited in expression) trait. The genes influencing facial hair may be present in both sexes, but the trait is expressed mainly in males because testosterone stimulates the development of facial hair after puberty. Therefore, the trait is closely associated with sex, even though it is not a standard X-linked example like colour blindness.
Which of the following results from the cross between Yy and Yy?
Answer: A
Explanation: Using a Punnett square

If both parents are heterozygous for a trait, the probability that an offspring will be recessive for that trait is
Answer: D
Your answer is correct.
The breeding methods that are useful in selective breeding of animals and plants are
Answer: A
Explanation: Inbreeding is the crossing of closely related individuals e.g. father Γ daughter, son Γ mother, brother Γ sister. It helps to maintain desirable traits. Outbreeding is the crossing of two completely unrelated individuals for the combination of desirable traits in one individual.
In Mendelian inheritance, discontinuous characters are controlled by the
Answer: C
(No explanation provided)
At what stage in the life history of a mammal is the sex of an individual set?
Answer: A
(No explanation provided)
The chromosome number of a cell before and after the process of meiosis is conventionally represented as
Answer: D
Your answer is correct.
Like this content
Report
There was a problem reporting this post.
Block Member?
Please confirm you want to block this member.
You will no longer be able to:
- See blocked member's posts
- Mention this member in posts
- Invite this member to groups
- Message this member
- Add this member as a connection
Please note: This action will also remove this member from your connections and send a report to the site admin. Please allow a few minutes for this process to complete.



